Hi there! My name is
Lilian Ung👋🏼
Software engineer and hobbyist robo_
🌱 Interested in backend development, algorithms, machine learning, and robotics
Skills and Tools
Programming Languages
Python, Java, JavaScript, HTML, CSS, PHP, Scala, PL/SQL, Bash, C++, Perl
Data / Machine Learning
scikit-learn, NumPy, Matplotlib, Pandas, SAS Miner, SAS Enterprise
DevOps
AWS (Elastic Beanstalk, S3, Lambda, CloudWatch, RDS), Git, Bitbucket, Postman, Kubernetes, Docker
Databases
MySQL, PostgreSQL, MongoDB, AWS RDS, MariaDB, TimesTen
Frameworks
FastAPI, ScalaFX, JavaFX, Akka, Kivy, Vue.js
Robotics
Robot Operating System (ROS), Arduino
Projects and Experiences
Heart Failure Prediction Neural Network

A neural network (multilayer perceptron) to predict the probability of heart failure based on 11 health characteristics.
scikit-learn PythonNumPyPandas Matplotlib
8 Queens Puzzle Solver using Depth-first Search

Allows the user to enter a number of queens (eg. 15 queens on a 15x15 board) and generates a solution to place them so that they do not attack each other.
Python NumPy Matplotlib
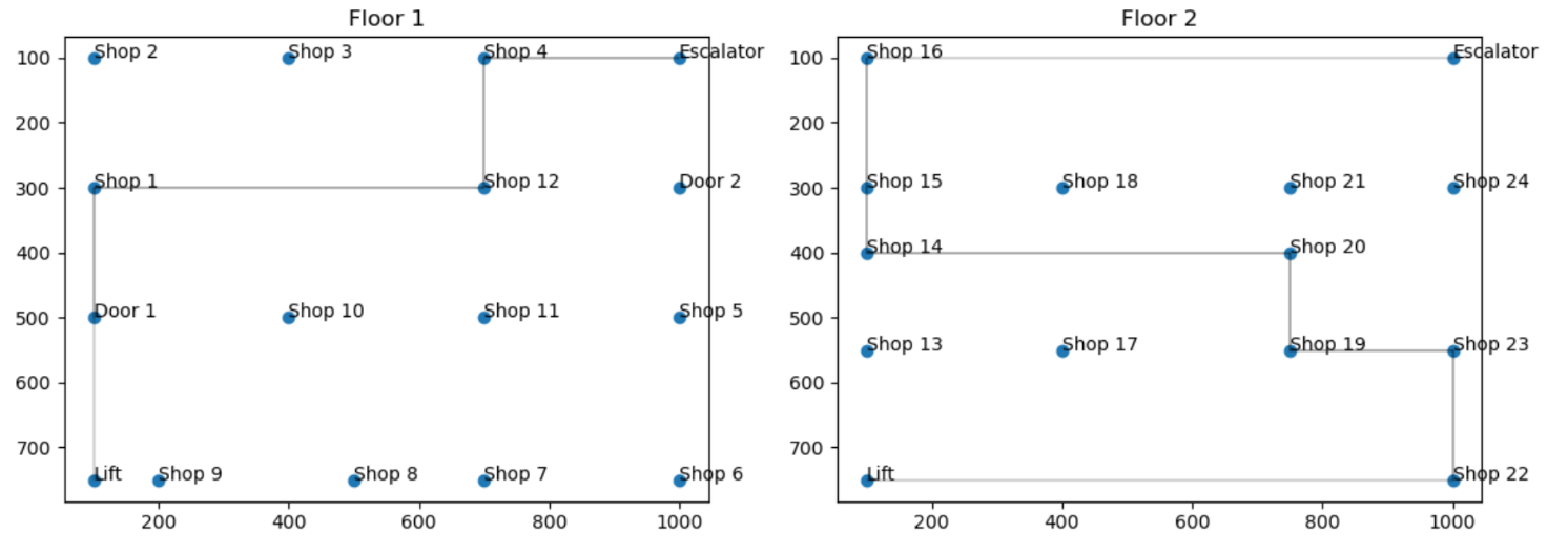
Route Planning System using Evolutionary Algorithm

Algorithm to generate the shortest path from a multistorey mall's entrance to visit all user-selected shops and leave at the nearest exit.
Python Matplotlib
Image and Text Extraction Algorithm

Binary mask obtained through erosion and dilation

Extracted image (inversed)

Extracted table
Program that uses OpenCV to extract randomly shaped drawings into image files and Pytesseract Optical Character Recognition to extract tabular data into Excel files. Achieved 97.67% accuracy on a dataset of 40 images.
OpenCV NumPy PytesseractPython
About
Hi there! 😄 I'm Lilian, a software engineer passionate about learning and problem-solving. Before graduating in late 2023, I gained valuable experience through a software engineering internship focused on backend and API development for an AI-based app.
I also pursued my passion for robotics, which started with Lego robotics competitions in primary school. Over the past two years, I collaborated on developing a library bookshelf scanning robot for my university's library, which involved designing its GUI and implementing an obstacle detection and avoidance system for my final year project.
These experiences have deepened my interest in software, backend, and algorithm development, motivating me to pursue a career as a software engineer. 😄 Check out my latest full-stack project, a recipe scraper, developed using Flask and Vue.js.
Please feel free to connect via LinkedIn for my resume and latest work experience.
